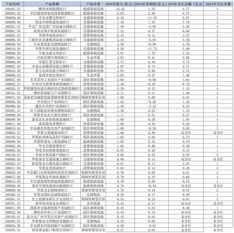
对那些留意REITs这种房地产投资信托基金的投资者来讲,新产品上市向来是值得予以关注的动态。今日,资本市场迎来了新的REITs份额,其代码成了今日市场关注的重点。此类产品给普通投资者创造了以较低门槛参与不动产投资的契机,其收益主要源自底层资产的租金及资产增值,是资产配置期间达成稳定现金流的一种工具。知晓其基本状况以及投资要点,是做出决策的首要步骤。
今天上市的REITs代码是什么
今天于交易所挂牌上市的REITs产品,其代码是 ,该基金底层资产组合,是经过精心筛选的 ,主要聚焦在长三角区域的核心物流仓储设施 ,这些资产被租赁给好些 电商以及第三方物流企业 ,而租金收入稳定 ,并且租约期限较长 ,投资者于交易软件里直接输入这个代码 ,就能够查看其实时行情 、净值走势以及详细资料 。
![]()
如何通过候鸟号查询REITs信息
对于那些有心深入钻研这只全新REITs 的投资者而言,能够充分借助券商APP里的智能工具,像是众多平台推出的“候鸟号”数据分析功能。借助此功能,投资者不但能够查到该REITs详细的招募说明书、定期报告,而且还能够看到底层项目的实地运营照片、出租率动态、主要租户构成等穿透式信息。这些数据相较于一般股票的基本面信息更加着重资产自身的运营质量,是评估其长期价值的关键所在。
投资新上市REITs需要注意什么
![]()
要留意其发行定价,以及当前市价跟净值或许存有的偏差,也就是溢价或者折价状况。新上市初始阶段价格波动兴许较大。其次,得认真剖析其底层资产的具体区位,还有行业前景,像今日上市的这只物流仓储 REITs,就要结合电商行业发展态势去判断。最后,务必明白 REITs 的高比例强制分红特性,它更适宜追求长期稳定现金流的投资者,并非短线交易者。
今天上市的那只着重于物流资产的REITs,您针对其往后的租金增长潜在能力有着怎样的看法呀?对于此,欢迎在评论区域分享您个人的观点,要是感觉这篇文章具备一定帮助作用的话,那就请点赞并且分享给更多的友人哦。
本站候鸟号已成立4年,主要围绕财经资讯类,分享日常的保险、基金、期货、理财、股票等资讯,帮助您成为一个优秀的财经爱好者。本站温馨提示:股市有风险,入市需谨慎。


暂无评论